高溫鈦合金具有高熱強性、耐腐蝕性、抗氧化性及良好塑性等特點,廣泛應用于航空航天、汽車制造等高端領域 [1-4]。Ti175 合金是國內新研制的 α+β 型高溫鈦合金,目前處于科研試制階段,其主要合金元素包括 Al、Mo、Zr、Sn、W,關鍵雜質元素為 Si、Fe、Ni、Re。其中,β 穩定元素 Mo、Zr、W 及 Si 可提升合金高溫蠕變性能,Re 直接影響材料強度與耐熱性 [5],因此準確測定 Ti175 合金中這 9 種元素的含量,對推動該新型鈦合金牌號的研發與工程化應用具有決定性作用。
ICP-AES 法因具有多元素同時測定、靈敏度高、分析速度快等優勢,是金屬材料化學成分檢測的重要手段 [6-9]。現有標準 YS/T 1262-2018 [10] 雖可同時測定多種元素,但無法滿足 Ti175 高溫鈦合金中 9 種元素(尤其是低含量雜質元素 Re、Ni)的同步準確測定需求。為此,本研究針對 ICP-AES 法測定 Ti175 合金中 Al、Mo、Zr、Sn、W、Si、Fe、Ni、Re 展開系統探究,優化激發功率、霧化氣流量等關鍵儀器參數,考察分析譜線干擾規律,通過基體 - 合金雙匹配消除干擾,最終建立精準、可靠的分析方法,并通過精密度與加標回收實驗驗證方法有效性。
1、實驗部分
1.1 主要儀器
iCAP PRO XP 型電感耦合等離子體原子發射光譜儀(賽默飛世爾科技有限公司);
Milli-Q 型超純水機(美國 Millipore 公司)。
1.2 試劑與材料
HCl、HF、HNO?:分析純,洛陽昊華化學試劑有限公司;
純鈦(w (Ti)≥99.998%):北京納克分析儀器有限公司;
Al、Mo、Zr、Sn、W、Si、Fe、Ni、Re 標準貯存溶液(1.00 mg?mL?1):北京納克分析儀器有限公司,根據實驗需求稀釋使用;
實驗用水:二級水(符合 GB/T 6682-2008 要求)。
1.3 儀器工作條件
結合儀器說明書推薦參數與實驗優化結果,確定最佳工作參數如表 1 所示,確保儀器處于最優檢測狀態。
表 1 最佳工作參數
Tab.1 Optimum operating parameters
| 工作參數 | 設定值 | 工作參數 | 設定值 | 
| 激發功率 /W | 1150 | 蠕動泵速 /(r?min?1) | 45 | 
| 霧化氣流量 /(L?min?1) | 0.65 | 觀測高度 /mm | 10 | 
| 等離子氣流量 /(L?min?1) | 12.5 | 積分次數 / 次 | 10 | 
| 輔助氣流量 /(L?min?1) | 0.5 | - | - | 
1.4 樣品溶液的制備
稱取 0.10g(精確至 0.0001g)Ti175 合金樣品,置于 250mL 聚四氟乙烯燒杯中,依次加入 10mL HCl(1:1,體積比)、2mL HF,常溫下攪拌溶解;待樣品完全溶解后,滴加 1mL HNO?氧化殘余雜質,冷卻后轉移至 100mL 塑料容量瓶中,用二級水稀釋至刻度,搖勻待測。
1.5 標準溶液配制
1.5.1 合金元素工作曲線配制
稱取 6 份 0.08g 純鈦基體,分別置于 250mL 聚四氟乙烯燒杯中,按 1.4 節方法溶解處理后,轉移至 100mL 塑料容量瓶中;按表 2 所示濃度梯度加入 Al、Mo、Zr、Sn、W 標準溶液,用二級水稀釋至刻度,搖勻,得到合金元素標準系列溶液。
表 2 合金元素工作曲線中各元素濃度(%)
Tab.2 Contents of the elements in the calculation curve for alloy element determination (%)
| 溶液編號 | Al | Mo | Zr | Sn | W | 
| 1 | 0 | 0 | 0 | 0 | 0 | 
| 2 | 1.00 | 5.00 | 4.50 | 0.50 | 1.00 | 
| 3 | 2.00 | 4.00 | 3.50 | 3.00 | 0.10 | 
| 4 | 4.00 | 3.00 | 2.50 | 1.50 | 1.50 | 
| 5 | 6.00 | 2.00 | 1.50 | 2.00 | 0.50 | 
| 6 | 8.00 | 1.00 | 1.00 | 1.00 | 2.00 | 
1.5.2 雜質元素工作曲線配制
稱取 6 份 0.08g 純鈦基體,分別置于 250mL 聚四氟乙烯燒杯中,按 1.4 節方法溶解處理后,轉移至 100mL 塑料容量瓶中;先加入與 Ti175 合金實際成分匹配的 Al(6.5%)、Sn(2%)、Zr(3.5%)、Mo(4.0%)、W(1.2%)合金元素標準溶液,再按表 3 所示濃度梯度加入 Si、Fe、Ni、Re 雜質元素標準溶液,用二級水稀釋至刻度,搖勻,得到雜質元素標準系列溶液。
表 3 雜質元素工作曲線中各元素濃度(%)
Tab.3 Contents of the elements in the calculation curve for impurity element determination (%)
| 溶液編號 | Fe | Ni | Re | Si | 
| 1 | 0 | 0 | 0 | 0 | 
| 2 | 0.002 | 0.001 | 0.001 | 0.050 | 
| 3 | 0.005 | 0.002 | 0.002 | 0.100 | 
| 4 | 0.008 | 0.005 | 0.003 | 0.150 | 
| 5 | 0.010 | 0.008 | 0.005 | 0.200 | 
| 6 | 0.020 | 0.010 | 0.008 | 0.300 | 
2、結果與討論
2.1 分析譜線選擇
根據 Ti175 合金中各元素含量(合金元素高含量、雜質元素低含量),配制基體溶液與單一元素標準溶液,通過光譜儀考察各元素譜線受鈦基體及共存元素的干擾情況。遵循 “靈敏度適中、干擾程度小、信噪比高” 原則,篩選分析譜線,結果如表 4 所示。
表 4 鈦合金中各元素波長干擾情況
Tab.4 Spectral line interference of the elements in titanium alloy
| 元素 | 波長 /nm | 干擾元素 | 波長 /nm | 干擾元素 | 波長 /nm | 干擾元素 | 
| Al | 396.153 | Mo | 308.215 | Zr | 394.401 | / | 
| Fe | 238.204 | / | 239.562 | / | 259.939 | / | 
| Mo | 202.031 | / | 202.095 | / | 204.598 | / | 
| Ni | 231.604 | / | 221.648 | Zr | 232.003 | Cr、Zr | 
| Re | 197.248 | W | 221.427 | Mo | 227.525 | / | 
| Si | 251.611 | / | 212.412 | Zr | 288.158 | Zr | 
| Sn | 189.927 | / | 283.998 | Cr | 242.170 | Zr | 
| W | 207.912 | / | 224.876 | / | 239.708 | Zr | 
| Zr | 257.243 | W | 339.198 | / | 343.823 | / | 
由表 4 可知,多數元素譜線受鈦基體或共存元素干擾(如 Al 396.153nm 受 Mo 干擾、Ni 221.648nm 受 Zr 干擾)。通過調整譜線積分區域、背景點位置,并結合基體 - 合金匹配,最終確定各元素最佳分析譜線如表 5 所示,可有效消除干擾。
表 5 各元素最佳分析譜線
Tab.5 Best analytical spectral lines for each element
| 元素 | 分析譜線 /nm | 元素 | 分析譜線 /nm | 
| Al | 394.401 | Si | 251.611 | 
| Mo | 202.032 | Ni | 231.604 | 
| Zr | 343.823 | Re | 227.525 | 
| Sn | 189.925 | Fe | 238.204 | 
| W | 207.912 | / | / | 
2.2 儀器分析參數優化
ICP-AES 的檢測性能與激發功率、霧化氣流量密切相關,直接影響分析物的揮發、原子化及激發 - 電離效率。本研究以雜質元素 Si、Fe、Ni、Re(含量低、對參數更敏感)為對象,優化關鍵儀器參數。
2.2.1 激發功率優化
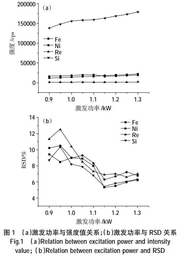
設定積分次數為 2 次,激發功率在 900~1300W 范圍內以 50W 遞增,考察功率對元素發射強度及測定精密度(RSD)的影響,結果如圖 1 所示。

由圖 1 (a) 可知,隨激發功率增大,元素發射強度逐漸升高(功率越高,等離子體能量越強,原子化效率越高);由圖 1 (b) 可知,功率為 1150W 和 1200W 時,RSD 處于較低水平,但 1150W 時 RSD 略低(Fe、Re 的 RSD 分別降低 0.3%、0.5%),綜合能耗與檢測穩定性,選擇激發功率為 1150W。
2.2.2 霧化氣流量優化
設定激發功率為 1150W、積分次數為 2 次,霧化氣流量在 0.50~0.75 L?min?1 范圍內調整,考察其對元素強度及 RSD 的影響,結果如圖 2 所示。

由圖 2 (a) 可知,霧化氣流量低于 0.65 L?min?1 時,元素強度隨流量增大而升高(霧化效率提升);超過 0.65 L?min?1 后,強度下降(過量氣體稀釋等離子體,降低激發效率);由圖 2 (b) 可知,流量為 0.65 L?min?1 時,各元素 RSD 最低(Si、Ni 的 RSD 分別為 1.2%、2.1%),故選擇霧化氣流量為 0.65 L?min?1。
2.3 基體和合金成分對測定結果的影響
2.3.1 基體效應與干擾實驗
稱取 0、0.10、0.50、1.00g 純鈦基體,按 1.4 節方法溶解后,分別加入 100μg Al、Mo、Zr、Sn、W、Si、Fe、Ni、Re 標準溶液,稀釋至 100mL,測定各元素凈發射強度,結果如表 6 所示。
表 6 不同基體量下各元素的強度值(cps)
Tab.6 Intensity values of each element under different matrix quantities (cps)
| 元素 | 無基體 | 0.10g 基體 | 0.50g 基體 | 1.00g 基體 | 
| Al | 329451.2 | 32158.1 | 31304.7 | 30456.3 | 
| Fe | 35338.2 | 33591.2 | 31330.8 | 29551.0 | 
| Mo | 16987.4 | 16510.2 | 16063.8 | 15894.1 | 
| Ni | 13634.4 | 13448.0 | 13137.0 | 12856.0 | 
| Re | 1256.4 | 1187.4 | 1154.2 | 1123.7 | 
| Si | 12314.8 | 12056.1 | 11896.8 | 11621.3 | 
| Sn | 446.9 | 401.8 | 377.7 | 284.5 | 
| W | 5012.3 | 4786.4 | 4633.8 | 4546.3 | 
| Zr | 82569.4 | 81876.5 | 80950.6 | 79456.2 | 
由表 6 可知,隨鈦基體含量增加,各元素強度值顯著降低(如 Al 無基體時強度 329451.2 cps,1.00g 基體時降至 30456.3 cps),表明鈦基體對測定存在明顯抑制效應,必須通過基體匹配消除干擾。
2.3.2 合金效應與干擾實驗
參照 Ti175 合金實際成分,用純鈦基體與合金元素標準溶液模擬合成樣品,加入 2 倍于雜質元素測定下限的標準溶液,分別采用 “僅基體匹配” 和 “基體 + 合金匹配” 工作曲線測定,計算回收率,結果如表 7 所示。
表 7 合成樣品 Ti175 中雜質元素測定結果及回收率
Tab.7 Determination results and recovery rate of impurity elements in synthetic sample Ti175
| 元素 | 加入量 /μg | 對應質量分數 /% | 僅基體匹配 | 基體 + 合金匹配 | ||
| 測得值 /% | 回收率 /% | 測得值 /% | 回收率 /% | |||
| Si | 10.0 | 0.010 | 0.00910 | 91.0 | 0.00980 | 98.0 | 
| Fe | 10.0 | 0.010 | 0.00675 | 67.5 | 0.01122 | 112.2 | 
| Ni | 2.0 | 0.002 | 0.00200 | 100.2 | 0.00206 | 102.9 | 
| Re | 2.0 | 0.002 | 0.00140 | 70.0 | 0.00214 | 107.0 | 
由表 7 可知,僅基體匹配時,Fe、Re 回收率偏離 90%~105%(Fe 67.5%、Re 70.0%);而基體 + 合金匹配時,所有雜質元素回收率均在 98%~113% 范圍內,表明合金成分對低含量雜質元素測定存在干擾,需通過雙匹配消除。
2.4 工作曲線、相關系數及檢出限
在優化條件下測定標準系列溶液,建立工作曲線;對空白溶液連續測定 11 次,計算標準偏差(SD),以 3 倍 SD 為檢出限,結果如表 8 所示。
表 8 工作曲線的測定范圍、線性方程、相關系數及檢出限
Tab.8 Measurement range, linear equation, correlation coefficient and detection limit of working curve
| 元素 | 測定范圍 /% | 線性方程 | 相關系數 r | 檢出限 /% | 
| Al | 1.00~8.00 | y=4490.319x+65.370 | 0.9998 | 0.0005 | 
| Mo | 1.00~5.00 | y=1436.361x+3.270 | 0.9997 | 0.0031 | 
| Zr | 1.00~4.50 | y=8449.289x+154.218 | 0.9998 | 0.0022 | 
| Sn | 0.50~3.00 | y=364.026x-11.343 | 0.9992 | 0.0098 | 
| W | 0.10~2.00 | y=498.847x-1.782 | 0.9999 | 0.0023 | 
| Si | 0.05~0.30 | y=745.831x+365.833 | 0.9999 | 0.0030 | 
| Fe | 0.002~0.020 | y=4025.974x+63.892 | 0.9998 | 0.0011 | 
| Ni | 0.001~0.010 | y=1398.571x+6.325 | 0.9997 | 0.0006 | 
| Re | 0.001~0.008 | y=24563.098x+5.307 | 0.9998 | 0.0010 | 
由表 8 可知,各元素線性相關系數 r≥0.9992,檢出限為 0.0005%~0.0098%(Al 檢出限最低,Sn 檢出限最高),滿足 Ti175 合金中高含量合金元素與低含量雜質元素的測定需求。
2.5 精密度實驗及加標回收實驗
稱取 Ti175 合金樣品平行測定 7 次,進行精密度實驗;同時加入一定量標準溶液進行加標回收實驗,結果如表 9 所示。
表 9 精密度實驗和加標回收實驗結果(n=7)
Tab.9 Results of precision test and spiked recovery test (n=7)
| 元素 | 認定值 /% | 加標量 /% | 測定值 /%(n=7) | 平均值 /% | 回收率 /% | RSD /% | 
| Al | 6.636 | 1.00 | 7.636,7.647,7.629,7.637,7.642,7.625,7.641 | 7.637 | 100.1 | 0.10 | 
| Mo | 4.034 | 1.00 | 5.034,5.032,5.043,5.033,5.044,5.025,5.027 | 5.031 | 99.9 | 0.16 | 
| Zr | 3.551 | 0.50 | 4.037,4.044,4.035,4.042,4.050,4.042,4.039 | 4.042 | 98.2 | 0.13 | 
| Sn | 2.006 | 0.50 | 2.511,2.503,2.497,2.506,2.511,2.508,2.515 | 2.505 | 100.0 | 0.30 | 
| W | 1.197 | 0.50 | 1.712,1.697,1.708,1.705,1.714,1.693,1.703 | 1.705 | 102.0 | 0.45 | 
| Si | 0.217 | 0.10 | 0.313,0.317,0.321,0.314,0.308,0.306,0.312 | 0.313 | 97.0 | 1.78 | 
| Fe | 0.0114 | 0.01 | 0.0215,0.0220,0.0205,0.0213,0.0218,0.0215,0.0207 | 0.0211 | 99.0 | 2.63 | 
| Ni | 0.00129 | 0.01 | 0.0118,0.0111,0.0121,0.0113,0.0109,0.0106,0.0116 | 0.0113 | 100.1 | 4.69 | 
| Re | / | 0.005 | 0.0048,0.0054,0.0046,0.0049,0.0049,0.0053,0.0044 | 0.0049 | 98.0 | 6.94 | 
由表 9 可知,各元素加標回收率為 97.0%~102.0%,RSD≤6.94%(Re 的 RSD 最高,因含量極低),表明方法精密度良好、準確度高,可用于 Ti175 合金的實際檢測。
3、結論
建立了 HCl-HF-HNO?混合酸溶解試樣、ICP-AES 法測定 Ti175 高溫鈦合金中 Al、Mo、Zr、Sn、W、Si、Fe、Ni、Re 9 種元素的分析方法,通過篩選最佳分析譜線(如 Al 394.401nm、Re 227.525nm),優化儀器參數(激發功率 1150W、霧化氣流量 0.65 L?min?1),有效提升檢測靈敏度與穩定性。
鈦基體與合金成分對測定存在顯著干擾,采用 “基體 + 合金雙匹配” 可徹底消除干擾,確保低含量雜質元素(如 Re、Ni)的準確測定。
方法線性關系良好(r≥0.999),檢出限低(0.0005%~0.0098%),精密度優異(RSD≤6.94%),加標回收率可靠(97.0%~102.0%),完全滿足 Ti175 高溫鈦合金中 9 種元素的精準測定需求,為該新型合金的研發與質量控制提供技術支撐。
參考文獻
[1] 文豪,馮軍寧。國內高溫鈦合金板材研究現狀 [J]. 世界有色金屬,2023,(9): 130-133.
[2] 王冰,相志磊,周宗熠,等。耐 600℃及以上高溫鈦合金研究進展 [J]. 鋼鐵釩鈦,2024, 44 (2): 42-50.
[3] 朱培亮,辛社偉,毛小南,等。高溫鈦合金的熱穩定性研究進展 [J]. 鈦工業進展,2023, 40 (1): 42-48.
[4] 王凱婷。高溫鈦合金的發展與應用 [J]. 世界有色金屬,2021, (14): 21-22.
[5] 嚴鵬飛,臧旭,宋體杰,等。電感耦合等離子體原子發射光譜法測定 Ti65 高溫合金中 16 種元素 [J]. 分析測試學報,2024, 43 (9): 1348-1355.
[6] 羅策,李劍,黃永紅,等. ICP-OES 法測定 Ti80 鈦合金中鋁鈮鋯鉬鐵硅 [J]. 化學工程師,2015, 29 (10): 21-23.
[7] 杜永勤,王建平,王書華,等。新型 Ti-6Al-3Nb-2Zr-1Mo (Ti80) 合金焊接工藝研究 [J]. 石油化工設備,2015, 44 (2): 67-73.
[8] 孫肖媛,張衛強,曾海梅,等。電感耦合等離子體原子發射光譜法測定 Ti-Al-Mo 系鈦合金中的鋁和鉬 [J]. 理化檢測 (化學分冊), 2018, 54 (12): 1456-1458.
[9] 劉婷,黃永紅,白煥煥. ICP-AES 法同時測定鈦合金中鉭?鈮?鎢元素含量 [J]. 鈦工業進展,2013, 30 (6): 38-41.
[10] 羅策,劉婷,白煥煥,等. YS/T 1262-2018《海綿鈦?鈦及鈦合金化學分析方法 多元素含量的測定 電感耦合等離子體原子發射光譜法》應用解析 [J]. 中國標準化,2021,(11): 184-188.
(注,原文標題:ICP-AES法測定Ti175高溫鈦合金中9種元素方法探究)
無相關信息
